Lithium Toxicity Management Nice / Cureus Lithium Induced Cardiotoxicity A Rare Clinical Entity : Lithium toxicity has been divided into three patterns:
Get link
Facebook
X
Pinterest
Email
Other Apps
Lithium Toxicity Management Nice / Cureus Lithium Induced Cardiotoxicity A Rare Clinical Entity : Lithium toxicity has been divided into three patterns:. Current nice guidelines for the management of bipolar disease, 8 that are adopted by the royal college of psychiatrists, recommend measuring plasma lithium levels every 6 months in a stable patient and every three months for higher risk patients, such as older patients, those taking drugs that interact with lithium, patients with poorer. September 2011 introduction these guidelines have been developed by a multidisciplinary team to ensure a safe, effective and consistent approach to the management of patients receiving lithium. Lithium is licensed for the management of acute manic or hypomanic episodes and the. Lithium is a medicine that is used to treat depression and bipolar disorder. Nice state that (2) serum lithium levels should be checked 1 week after starting and 1 week after every dose change, and until the levels are stable.
Lithium is sometimes prescribed in the management and treatment of mania, hypomania, recurrent depression, and bipolar disorder. Haemodialysis can treat lithium toxicity. Concentrations in excess of 2 mmol/litre are usually associated with serious toxicity and such cases may need treatment with haemodialysis if neurological symptoms or renal failure are present. Lithium toxicity happens when the amount of lithium in your blood is too high. 0.4 to 1.0 mmol/l (may vary from laboratory to laboratory).
Treatment Of Lithium Intoxication Facing The Need For Evidence International Journal Of Bipolar Disorders Full Text from media.springernature.com Although this observation is multifactorial, one obvious potential contributor is the side effect and toxicity burden associated with lithium. Lithium should be prescribed by brand name so that the person receives the same medicine each time. The lithium shared care guideline from tewv has been updated to recommend six monthly checks as per nice guidance. Cases of lithium toxicity have been reported in patients receiving vasotec and lithium concurrently, so serum lithium levels in such patients must be monitored more frequently. Lithium is used as a mood stabiliser. The chronic form of lithium toxicity can occur when you take lithium daily but your serum blood level has crept up into the toxic range. Lithium is a very powerful, antimanic medication with a narrow therapeutic index3. Lithium is sometimes prescribed in the management and treatment of mania, hypomania, recurrent depression, and bipolar disorder.
In mild lithium toxicity, symptoms include weakness, worsening tremor, mild ataxia, poor concentration and diarrhea.
Consider routinely requesting lithium levels each time renal function is checked. Haemodialysis can treat lithium toxicity. Lithium toxicity happens when the amount of lithium in your blood is too high. Lithium is a medicine that is used to treat depression and bipolar disorder. A summary table to facilitate emergent management of lithium poisoning is provided. Choosing maintenance treatment and renal toxicity of lithium and lithium and the thyroid and general approach to drug poisoning in adults.) Scope of guideline these guidelines include advice to prescribers and other healthcare 1.4.3 if people with bipolar disorder pose an immediate risk to themselves or others during an acute episode, see the nice guidelines on: The aim should be to maintain serum lithium levels between 0.6 and 0.8 mmol per litre in people being prescribed it for the first time Choosing pharmacotherapy and bipolar disorder in adults: The chronic form of lithium toxicity can occur when you take lithium daily but your serum blood level has crept up into the toxic range. Lithium is licensed for the management of acute manic or hypomanic episodes and the. Although this observation is multifactorial, one obvious potential contributor is the side effect and toxicity burden associated with lithium.
Lithium toxicity has been divided into three patterns: Lithium remains a key drug in the treatment of bipolar disorder1 and recurrent depressive disorder, and renal monitoring is essential for safe prescribing. Lithium is a medicine that is used to treat depression and bipolar disorder. The chronic form of lithium toxicity can occur when you take lithium daily but your serum blood level has crept up into the toxic range. Lithium toxicity can happen when this level reaches 1.5 meq/l or higher.
Lithium In 2021 Nursing Mnemonics Mental And Emotional Health Lithium Toxicity from i.pinimg.com Lithium is used as a mood stabiliser. Haemodialysis can treat lithium toxicity. Choosing pharmacotherapy and bipolar disorder in adults: Lithium, a monovalent cation similar to sodium with an unknown mechanism, was first approved by the u.s. The chronic form of lithium toxicity can occur when you take lithium daily but your serum blood level has crept up into the toxic range. Toxicity can occur if you take a large dose of lithium at one time. Lithium toxicity occurs at serum lithium concentrations of approximately 1.5 mmol/l and above. Cases of lithium toxicity have been reported in patients receiving vasotec and lithium concurrently, so serum lithium levels in such patients must be monitored more frequently.
The chronic form of lithium toxicity can occur when you take lithium daily but your serum blood level has crept up into the toxic range.
Lithium is used as a mood stabiliser. The lithium shared care guideline from tewv has been updated to recommend six monthly checks as per nice guidance. Management of lithium toxicity in cases of suspected lithium toxicity consider referral to hospital. Following the prescription of lithium, the patient's first serum level check showed an abnormally high lithium level, which was noted by the staff but not reported to ott. Additionally, side effect concerns assuredly play some role in lithium nonadherence. Haemodialysis can treat lithium toxicity. At each consultation, ask about any signs of toxicity or signs of hypothyroidism. Lithium toxicity has been divided into three patterns: Lithium is a very powerful, antimanic medication with a narrow therapeutic index3. Lithium, a monovalent cation similar to sodium with an unknown mechanism, was first approved by the u.s. Lithium remains a key drug in the treatment of bipolar disorder1 and recurrent depressive disorder, and renal monitoring is essential for safe prescribing. Lithium is sometimes prescribed in the management and treatment of mania, hypomania, recurrent depression, and bipolar disorder. Lithium, or lithium carbonate, is an active ingredient in some drugs that treat mood disorders, including depression and bipolar disorder.overdose can cause symptoms that range from mild to severe.
Scope of guideline these guidelines include advice to prescribers and other healthcare The chronic form of lithium toxicity can occur when you take lithium daily but your serum blood level has crept up into the toxic range. Lithium is licensed for the management of acute manic or hypomanic episodes and the. Lithium toxicity happens when the amount of lithium in your blood is too high. A summary table to facilitate emergent management of lithium poisoning is provided.
Lithium Toxicity Symptoms Levels Signs Treatment from medicalfoxx.com In mild lithium toxicity, symptoms include weakness, worsening tremor, mild ataxia, poor concentration and diarrhea. Although this observation is multifactorial, one obvious potential contributor is the side effect and toxicity burden associated with lithium. Lithium toxicity can happen when this level reaches 1.5 meq/l or higher. Lithium remains a key drug in the treatment of bipolar disorder1 and recurrent depressive disorder, and renal monitoring is essential for safe prescribing. This paper summarizes the knowledge base on side effects and toxicity and suggests optimal management of these problems. It has a narrow optimum range, with plasma lithium levels below 0.6 mmol per litre ineffective and plasma lithium levels above 0.8 mmol per litre linked to increased toxicity. 7 to be aware that age related changes in renal function may lead to slowly occurring lithium toxicity. Lithium toxicity has been divided into three patterns:
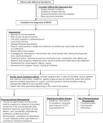
5.3 lithium toxicity 5.4 management of lithium toxicity 5.5 renal impairment 5.6 fluid balance 5.7 surgery 6.
Administration of fluids and sodium will help to bring the lithium level down. Current nice guidelines for the management of bipolar disease, 8 that are adopted by the royal college of psychiatrists, recommend measuring plasma lithium levels every 6 months in a stable patient and every three months for higher risk patients, such as older patients, those taking drugs that interact with lithium, patients with poorer. This paper summarizes the knowledge base on side effects and toxicity and suggests optimal management of these problems. Lithium toxicity has been divided into three patterns: 7 to be aware that age related changes in renal function may lead to slowly occurring lithium toxicity. Choosing pharmacotherapy and bipolar disorder in adults: At each consultation, ask about any signs of toxicity or signs of hypothyroidism. September 2011 introduction these guidelines have been developed by a multidisciplinary team to ensure a safe, effective and consistent approach to the management of patients receiving lithium. Lithium remains a key drug in the treatment of bipolar disorder1 and recurrent depressive disorder, and renal monitoring is essential for safe prescribing. Nice guidelines recommend that lithium should be stopped for up to 7 days in 0.4 to 1.0 mmol/l (may vary from laboratory to laboratory). The updated guideline is available through the tewv link on the necs medicines optimisation website. Lithium is a very powerful, antimanic medication with a narrow therapeutic index3.
Consider routinely requesting lithium levels each time renal function is checked lithium toxicity management. Haemodialysis can treat lithium toxicity.
Miami Formula 1 Track / Miami Gives Formula One Green Light For 2019 Bnn Bloomberg / For the first time, and after years of speculation, formula one announced sunday it will take to the streets of miami next year. . Formula 1 has been hoping to race in miami since at least 2018. Tom garfinkel, the vice chairman and ceo of the miami dolphins and hard rock stadium, posted the updated circuit plans to twitter. News, stories and discussion from and about the world of formula 1. This f1 race, however, has been a long time coming. Driving the new miami formula 1 track. In a landmark announcement for f1's american owners we are thrilled to announce that formula 1 will be racing in miami beginning in 2022, said f1's president and ceo stefano domenicali. Projected miami 2021 f1 race faces major local opposition. The hard rock stadium is a planned street circuit around the hard rock stadium in miami gardens, florida. This f1 race, however, has been a long time coming....
Netsuite Erp System - Cloud Accounting Software For Business Netsuite / In fact, it is touted as the world's most deployed cloud erp solution as it is utilized by more than 24,000 customers worldwide. . Netsuite provides the cloud infrastructure to ensure businesses can run their business management applications in the cloud with complete confidence. In fact, it is touted as the world's most deployed cloud erp solution as it is utilized by more than 24,000 customers worldwide. It helps the enterprises to achieve business growth and progress by efficiently optimizing business processes. Accounting, inventory, supply chain and order management. There are too many limitations in qb and netsuite allows for scalability. Hear why ceos migrated to acumatica erp + potential savings. Learn more about netsuite training airbase airbase combines approval workflows, corporate cards, bill pay, expense management, accounting automation and reporting all in one place. Every...
Tiafoe Tennis Player / Professional Tennis Player Frances Tiafoe Of United States In Action During His Quarter-final ... : Go straight to the classic player page. . Born january 20, 1998) is an american professional tennis player. Us open tennisvarmennettu tili @usopen 1. Tiafoe first broke into the top 100 of the atp rankings in 2016. Official tennis player profile of frances tiafoe on the atp tour. Full profile on tennis career of tiafoe, with all matches and records. Us open tennisvarmennettu tili @usopen 1. Tiafoe first broke into the top 100 of the atp rankings in 2016. Height, photos & stats of all atp & wta players including frances tiafoe. Ranked 81st in the atp rankings tiafoe has had to pull out of an exhibition event in atlanta open to the public. Francis tiafoe fixtures tab is showing last 100 tennis matches with statistics and win/lose icons. TENNIS: Tiafoe defeats ...
Comments
Post a Comment